郑裕国院士团队柳志强教授组:实现大肠杆菌高产O-乙酰-L-高丝氨酸
【SynBioCon】获悉,近期,浙江工业大学郑裕国院士团队柳志强教授课题组采用模块化途径工程、酶筛选、sRNA引导的瓶颈识别、微调关键代谢节点、辅因子工程和发酵优化等系统代谢工程策略,开发了一种无质粒、无营养缺陷的OAH高产菌株OAH37,将OAH发酵产量增产至94.1 g/L,创目前报道最高纪录,为OAH的绿色生物制造奠定了坚实基础。
图1 OAH的代谢途径及其增产策略示意图
主要研究内容及其关键技术突破:
1.「L-高丝氨酸+MetX」双模块加强,促进OAH初步积累
团队以前期构建的L-高丝氨酸生产菌株HSY6为底盘,通过质粒引入MetX确定该底盘具备OAH合成能力,产量为5.29 g/L。随后,回补了L-赖氨酸和甲硫氨酸途径,以减少菌株的营养缺陷;进一步整合天冬氨酸转氨酶(aspBcg)、谷氨酸合酶(gltABbs)和天冬氨酸激酶(lysCpa),以增强L-高丝氨酸模块的代谢通量。通过异源MetX的筛选,发现来源于海洋环状菌(Cyclobacterium marinum)的metXcm整合至假基因位点可将产量提升至8.30 g/L,相较于初始菌株提升了56.9%。该策略强化了L-高丝氨酸合成和MetX模块,将菌株营养缺陷降至1种,初步奠定了菌株无质粒无营养缺陷的基调。
图2 L-高丝氨酸模块和MetX增强对OAH合成的影响
2.「乙酰辅酶A动态调控四重奏」,协同突破OAH合成瓶颈
乙酰辅酶A是OAH合成的关键乙酰基供体,其细胞内通量受严格调控。团队在菌株OAH6中系统测试了四种优化策略:(1)强化内源途径;(2)重构异源途径;(3)增加辅酶A池;(4)削弱竞争途径。结果显示,增强PDH合成导致碳通量溢出至乙酸生成,导致无OAH积累,而添加天冬氨酸可部分恢复OAH合成,表明过强的乙酰辅酶A供应不利于OAH合成;过表达acs显著提升乙酰辅酶A含量和OAH产量;转录水平优化后的fxpKba使OAH产量提高13.7%,证实NOG途径的有效性;然而,增强CoA池可提升生物量,却因碳流重分配导致OAH产量下降。最终,组合强化NOG途径、敲除adhE和过表达acs,使OAH摇瓶产量达11.59 g/L。研究揭示了避溢流、强供给、控竞争可增强乙酰辅酶A合成,多途径协同是稳健高产的关键。
图3 多管齐下强化乙酰辅酶A合成
3.「sRNA限速靶点诊断」,解密OAH合成限速节点
OAH生物合成依赖乙酰辅酶A等关键前体,代谢通量分配复杂。团队利用sRNA对高产菌株OAH14的76个候选基因进行限速靶点诊断。结果表明:(1)双前体碳通量分配不佳;(2)中心代谢途径流量占比高;(3)转氨过程导致氨基供应不足;(4)苏氨酸途径亟需回补等4个方面需要全面协同优化。在有益靶点的工程化改造中,仅确认了敲除L-高丝氨酸外排蛋白RhtA可减少前体流失,而其他靶点需进一步精细调控。
图4 利用sRNA筛选OAH潜在增产靶点
4.「多代谢节点精细调控」,OAH产量连破三关
(1)平衡乙酰辅酶A和L-高丝氨酸模块
基于sRNA筛选结果,团队通过将菌株OAH16中aceF基因起始密码子突变为GTG,菌株OD600值提升了11.7%,OAH产量提高至14.39 g/L,实现了代谢通量的优化,提高了转化率。进一步引入谷氨酸棒杆菌来源的丙酮酸羧化酶基因pyccg,将丙酮酸转化为草酰乙酸,为乙酰辅酶A和L-高丝氨酸提供关键前体。通过测试J23119家族不同强度启动子调控pyccg表达,发现使用启动子J23102的菌株OAH21效果最佳,OAH产量达15.22 g/L。研究证实,优化乙酰辅酶A与L-高丝氨酸合成的动态平衡,而非单纯提高乙酰辅酶A水平,是提升OAH产量的关键策略。
(2)重定向碳代谢流至OAH的合成
针对柠檬酸合酶GltA的关键限速节点,使用三种梯度强度启动子-5’UTR复合体(PUTRacnB/talB/aceF),实现GltA表达强度精细分级调控,使OAH产量提升至16.19 g/L;针对支链氨基酸氨基转移酶IlvE与L-高丝氨酸合成对氨基供体谷氨酸的竞争矛盾,弱化起始密码子以削弱IlvE表达,减少细胞内氨基资源消耗,降低了谷氨酸合成依赖及TCA循环代谢负荷,同时减少了发酵过程NH4+摄取量,构建的OAH26菌株产量达17.00 g/L。
(3)突变苏氨酸衰减子完成营养缺陷回补
针对苏氨酸营养缺陷导致工程化放大困难的问题,团队设计了三种策略引入L-高丝氨酸激酶基因thrB,其中搭载苏氨酸衰减子(含前导肽thrL)动态调控系统的菌株OAH29表现最优,无需外源添加苏氨酸,OAH产量达18.23 g/L。进一步聚焦衰减子调控机制,通过理性设计前导肽thrL第二密码子,构建的菌株OAH33实现苏氨酸途径的智能响应:该菌株在未添加苏氨酸时,thrB表达水平提升16.0%,添加后抑制效率从13.3%增至32.2%,OAH产量突破19.40 g/L。该研究首创"第二密码子工程-衰减子动态调控"协同策略,解决了营养缺陷型菌株的代谢负担问题,为微生物细胞工厂的智能代谢调控提供了新范式。
图5 多节点精细调控OAH合成途径
5.增强「ATP周转」,菌株高效生产
为优化辅因子和能量代谢模块,研究团队在菌株OAH33中分别敲除了编码NADH氧化还原酶(nuoG)、细胞色素bo3氧化酶(cyoA)和ATP合酶(atpFH)的基因,发现敲除ATP合酶(atpFH)的菌株OAH36通过阻断氧化磷酸化途径,强制细胞依赖糖酵解底物水平磷酸化(SLP)供能,显著增强了ATP周转速率。通过强化磷酸甘油酸激酶(pgk)进一步加速SLP过程,使菌株OAH37的ATP周转效率与OAH合成通量形成动态匹配,最终实现OAH产量20.08 g/L(转化率0.54 g/g葡萄糖)的突破,较初始菌株提升137%。该研究揭示了ATP合酶敲除以抑制氧化磷酸化-糖酵解SLP强化以加速ATP周转的协同调控机制,为微生物细胞工厂中能量代谢与产物合成的精准平衡提供了新策略。
图6 优化能量和辅因子模块对OAH合成的影响
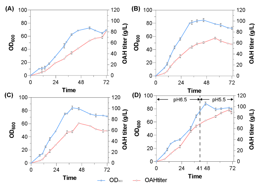
6.5 L发酵罐「双阶段pH」控制,达文献报道最高值
基于体外实验揭示的OAH易降解特征,团队创新性地开发了两阶段pH动态调控技术,在5 L生物反应器中实现了无质粒菌株OAH37的高效合成:发酵初期维持pH 6.5促进菌体快速生长,待细胞进入平台期后切换至pH 5.5强化产物合成,最终在68.7小时内积累了94.1 g/L OAH(产率1.37 g/L/h,转化率0.42 g/g葡萄糖),较单一pH控制提升了15.5%-37.3%。该策略巧妙平衡了酸胁迫对菌体生长的抑制作用与产物稳定合成的需求,通过动态匹配菌体生长阶段与产物合成条件,克服了高pH下产物降解和低pH下合成速率受限的矛盾。最终构建的工程菌株OAH37,在无诱导剂/抗生素/维生素的低成本培养基中,OAH产量达到国内外领先水平,其发酵过程可控性强、放大潜力显著,为生物法制造OAH提供了可工业化的解决方案。
图7 菌株OAH37在不同pH条件下的5 L罐发酵结果
相关研究成果以“Tailoring Escherichia coli for high-yield production of O-acetyl-L-homoserine through multi-node metabolic regulation”为题,于2025年7月发表于《Metabolic engineering》。课题组2021级博士研究生陈媛媛为论文第一作者,课题组柳志强教授为论文通讯作者。本研究得到了国家重点研发计划项目(2022YFC2105400)和国家自然科学基金项目(32200054)的支持。
▌参考信息:本文部分素材来自《Metabolic engineering》。由作者重新编写,系作者个人观点,本平台发布仅为了传达一种不同观点,不代表对该观点赞同或支持。如果有任何问题,请联系我们:15356747796(微信同号)
